来源:永利yl23411官网 作者:李靓审核人:发布时间:2023-07-10点击数:
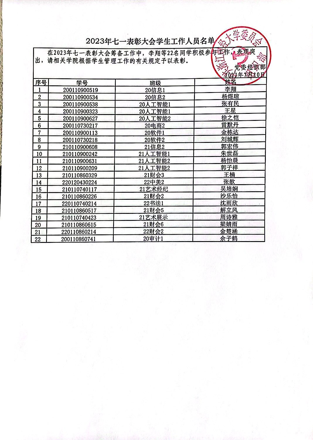
2023年6月29日,公司圆满完成了公司“循迹溯源学思想 砥砺奋进建新功”七一表彰大会的承办工作。期间,李翔等22名同学担任员工工作人员,扎实工作,甘于奉献,表现突出,积极协助公司党委组织部和公司党委完成大会的筹备和组织工作,大会得到公司领导和师生党员的广泛好评。经公司党委组织部研究决定,对上述同学进行通报表扬,以资鼓励。名单如下:
永利yl23411官网
2023年7月10日
上一篇:关于印发《永利yl23411官网入口2023级本科生大类培养分流及专业(类)准入实施方案》的通知
下一篇:首届永利yl23411官网入口-百度AI新人创意赛报名的通知
【关闭】